| А | Б | В | Г | Д | Е | Ж | З | И | К | Л | М | Н | О | П | Р | С | Т | У | Ф | Х | Ц | Ч | Ш | Щ | Э | Ю | Я |
ИЗМЕРЕНИЯ НА МЕСТНОСТИ
расстояний, высоты объектов, крутизны скатов, используют для картографирования, маршрутных съемок и др. целей. Расстояния измеряют шагами, по времени и скорости движения, на глаз и др. способами. Для определения длины шага известное расстояние (100 или 200 м) проходят ровным шагом неск. раз и находят ср. величину шага. На маршруте счет шагов ведут парами, отмечая в блокноте круглое число пар шагов (100, 200 и т. д.). С этой целью используют также шагомер. Ошибка при измерении расстояний шагами обычно не превышает 2 – 4%.

Рис. 1 Определение расстояния по угловым величинам предметов.
Пройденное расстояние определяют по затраченному времени и скорости движения, к-рую устанавливают на известном отрезке пути, а также по спидометру автомобиля, счетчику на велосипеде; иногда с этой целью используют ср. показатели скорости движения (км/ч): для пешехода без рюкзака – 5 – 6, с рюкзаком – 4,5 – 5. Ошибки измерений опытного наблюдателя при расстояниях до 1 км не превышают 10%, при больших (особенно в горах и в тундре) возрастают до 30 – 50%. Можно также определять расстояние по степени различимости предметов невооруженным глазом в зависимости от их удаленности: насел. пункты – 10 – 12 км; большие строения – 8; заводские трубы – 6; отд. небольшие дома – 5; стволы деревьев, столбы линий связи – 1 – 1,5; движения рук и ног идущего человека – 0,7; переплеты рам в окнах – 0,5; черепица на крышах, листья деревьев – 200 м; черты лица, кисти рук – 100 м; глаза человека в виде точек – 60 м.
Более точно определяют расстояние по линейным размерам и по угловым величинам предметов на местности. Для этого линейку с миллиметровым делением держат перед собой на расстоянии 50 см от глаз и подсчитывают по ней длину отрезка, закрывающего удаленный предмет, размеры к-рого известны (рис. 1).
где d – линейный размер объекта, м; l – отрезок линейки, закрывающий объект, см.
Используют также формулу «тысячных», если угловую величину предмета выражают в делениях угломера (в тысячных), основываясь на том, что одно миллиметровое деление на удалении 50 см соответствует углу 0-02 (2 тысячных).
В нек-рых случаях расстояния (напр., ширину реки или к.-л. недоступного препятствия) определяют следующими способами: а) проектируют козырек фуражки на предмет на противоположном берегу, затем плавно поворачиваются, не меняя положения головы, и на своем берегу отмечают место проектирования козырька; расстояние от точки стояния до этого места и будет соответствовать ширине препятствия; б) используя изображенный на картоне равнобедренный прямоугольный треугольник, один из катетов его направляют на избранный ориентир на др. берегу реки; затем, двигаясь перпендикулярно к первому направлению, находят точку, в к-рой гипотенуза совпадает с направлением на ориентир; расстояние между начальной и конечной точками и будет соответствовать ширине реки; в) стоя в точке I, наблюдатель держит в вытянутой руке травинку (прутик) такой длины, чтобы она закрывала промежуток между двумя ориентирами на противоположном берегу; затем он складывает травинку пополам и отходит от точки ! до тех пор (в точку П), пока половина травинки не «уложится» в намеченный промежуток на др. берегу; расстояние между точками ! и П будет равно ширине реки (рис. 2).
См. также Глазомерная съемка.Азимуты направлений измеряют компасом. Высоту объектов определяют:
Рис. 2. Определение ширины реки при помощи травинки.
Рис. 3. Определение крутизны ската на глаз при помощи пальцев рук.
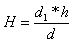
а) по его угловой величине (b) и расстоянию до него (D) исходя из формулы
б) по тени предмета, используя формулу
Крутизну скатов можно установить: а) на глаз, сравнивая с известными углами; б) при крутизне не более 200 – 250 – горизонтальным визированием и промером шагами: стоя внизу ската, держат линейку (папку) горизонтально на уровне глаз и замечают точку визирования, измеряют расстояние до неб парами шагов и высчитывают затем крутизну по формуле
где n – число пар шагов, 60 – постоянное число;
в) при помощи угломера, т. е. транспортира с прикрепленной в его центре нитью с грузом (отвес), прямолинейный диаметр устанавливают на уровне глаз и направляют его вдоль линии ската; угол между штрихом 90' и нитью покажет крутизну ската; г) по углам между вытянутыми пальцами рук (рис. 3); д.) по топографич. карте с графиком крутизны.
Для определения скорости течения реки на прямом ее участке на ровном берегу забивают два колышка на расстоянии 100 м; у каждого из них стоит наблюдатель с часами (с секундной стрелкой). Выше первого створа в воду бросают, напр., кусок дерева и при прохождении его через створы отмечают время, определяя затем скорость по формуле
Лит,: Меньчуков А. Е., В мире ориентиров, 5 изд., М., 1977; Ганьшин В. Н., Простейшие измерения на местности, 3 изд., М., 1983.